
Products: Abaqus/Standard Abaqus/Explicit
The use of the 2-node SAX1 shell element and the 3-node SAX2 shell element is discussed.
These two shell elements are axisymmetric versions of the shells described in “Shell element overview,” Section 3.6.1 and use the “reduced-integration penalty” method of Hughes et al. (1977). While these are shell elements, they are also simple extensions of the two-dimensional beam elements B21 and B22. The extension is the inclusion of the hoop terms. These elements are thus one-dimensional, deforming in a radial plane. The Cartesian coordinates in this plane are r (radius) and z (axial position). Distance along the shell reference surface in such a plane is measured by the material coordinate S (see Figure 3.6.2–1).

The 2-node element (SAX1) uses one-point integration of the linear interpolation function for the distribution of loads. The mass matrix is lumped. The 3-node element (SAX2) uses two-point integration of a quadratic interpolation function for the stiffness and three-point integration of a quadratic interpolation function for the distribution of loads. SAX2 uses a consistent mass matrix. All integrations use the Gauss method. The integration through the thickness follows the usual numerical or exact scheme used in Abaqus.

This shell theory allows for finite strains and rotations of the shell. The strain measure used is chosen to give a close approximation (accurate to second-order terms) to log strain. Thus, the theory is intended for direct application to cases involving inelastic or hypoelastic deformation where the stress-strain behavior is given in terms of Kirchhoff stress (“true” stress in the usual engineering literature) and log strain, such as metal plasticity. The theory is approximate, but the approximations are not rigorously justified: they are introduced for simplicity and seem reasonable. These approximations are as follows:
A “thinness” assumption is made. This means that, at all times, only terms up to first order with respect to the thickness direction coordinate are included.
The thinning of the shell caused by stretching parallel to its reference surface is assumed to be uniform through the thickness and defined by an incompressibility condition on the reference surface of the shell. Obviously this is a relatively coarse approximation, especially in the case where a shell is subjected to pure bending. It is adopted because it is simple and models the effect of thinning associated with membrane straining: this is considered to be of primary importance in the type of applications envisioned, such as the failure of pipes and vessels subjected to over-pressurization.
The thinning of the shell is assumed to occur smoothly—that is to say, gradients of the thinning with respect to position on the reference surface are assumed to be negligible. This means that localization effects, such as necking of the shell, are only modeled in a very coarse way. Again, the reason for adopting this approximation is simplicity—details of localization effects are not important to the type of application for which the elements are designed.
All stresses except those parallel to the reference surface are neglected; and, for the nonnegligible stresses, plane stress theory is assumed. As with (c) above, this precludes detailed localization studies, but introduces considerable simplification into the formulation.
Plane sections remain plane. This has been shown to be consistent with the thinness assumption, (a) above, for most material models. Here it is simply assumed without further justification.
Transverse shears are assumed to be small, and the material response to such deformation is assumed to be linear elastic. Transverse shear is introduced because the elements used are of the “reduced integration, penalty” type (see Hughes et al., 1977, for example). In these elements position on the reference surface and rotation of lines initially orthogonal to the reference surface are interpolated independently: the transverse shear stiffness is then viewed as a penalty term imposing the necessary constraint at selected (reduced integration) points. This transverse shear stiffness is the actual elastic value for relatively thick shells. For thinner cases the penalty must be reduced for numerical reasons—this is done in Abaqus in the manner described in Hughes et al. (1977).
The theory is now described in detail. The concepts are taken from various sources, most especially Budiansky and Sanders (1963) and Rodal and Witmer (1979). The position of a material point in the shell is given by
where![]()
is the position of a point on the reference surface of the shell;
![]()
is a unit vector in the “thickness” direction, this direction being initially orthogonal to the reference surface;
![]()
is the stretch of the shell in the thickness direction;
![]()
measures position with respect to the thickness direction, in the reference configuration; and
![]()
are material coordinates in the reference surface.
The assumptions listed above imply that
only and that
are small quantities. Equation 3.6.2–1 is written at the end of an increment, and at the start of an increment the same equation is written as
![]()
![]()
![]()
At the start of the increment the same quantities are
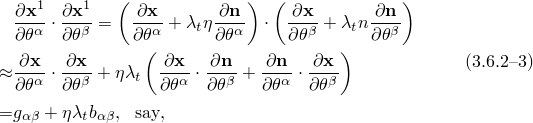
Axisymmetric shells undergoing axisymmetric deformations have the great simplification that principal directions do not rotate. Thus, by assuming that
and
are oriented in these principal directions (
is meridional and
is circumferential), the stretch ratios that occur within the increment in these directions are written as

![]()
![]()
![]()
![]()
![]()
Then

![]()
![]()
![]()
From the definition of
![]()
![]()
![]()
![]()
![]()
![]()
![]()

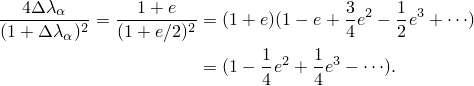
Defining
and assuming satisfies the requirement. Equation 3.6.2–9 may be simplified by substituting in the definition of![]()
The formulation is completed by the assumption that the virtual work equation can be written
where![]()
are the Kirchhoff stresses at a point;
![]()
in the shell, defined by plane stress theory using the summation of the strain increments in Equation 3.6.2–10 to define the strain at this point;
are the variations of the strain increments in Equation 3.6.2–10;
![]()
are the transverse shear forces per unit area, defined by
; where
![]()
are the transverse shear strains from Equation 3.6.2–8,
h
is the original thickness of the shell,
![]()
is the elastic transverse shear stiffness (reduced according to the suggestions of Hughes et al. (1977) if the shell is too thin, to avoid numerical problems);
![]()
is the virtual external work rate.