
Product: Abaqus/Standard
Abaqus/Standard provides a fully coupled thermal-electrical procedure for analyzing Joule heating, which arises when the energy dissipated by an electrical current flowing through a conductor is converted into thermal energy.
Coupling arises from two sources: the conductivity in the electrical problem is temperature dependent, and the internal heat generated in the thermal problem is a function of electrical current. The thermal part of the problem includes all the heat conduction and heat storage (specific and latent heat) features described in “Uncoupled heat transfer analysis,” Section 2.11.1. (Forced heat convection caused by fluid flowing through the mesh is not considered.)
The thermal-electrical elements have both temperature and electrical potential as nodal variables.
This section describes the governing equilibrium equations, the constitutive model, boundary conditions, the surface interaction model, finite element discretization, and the components of the Jacobian used.

The electric field in a conducting material is governed by Maxwell's equation of conservation of charge. Assuming steady-state direct current, the equation reduces to
where V is any control volume whose surface is S,The divergence theorem is used to convert the surface integral into a volume integral:
![]()
![]()
The equivalent weak form is obtained by introducing an arbitrary, variational, electrical potential field,
, and integrating over the volume:
![]()
![]()

The flow of electrical current is described by Ohm's law:
![]()
Introducing Ohm's law, the governing conservation of charge equation becomes

The heat conduction behavior is described by the basic energy balance relation
where V is a volume of solid material, with surface area S;Equation 2.12.1–4 and Equation 2.12.1–5 describe the electrical and thermal problems, respectively. Coupling arises from two sources: the conductivity in the electrical problem is temperature dependent,
, and the internal heat generation in the thermal problem is a function of electrical current,
, as described below.

Joule's law describes the rate of electrical energy,
, dissipated by current flowing through a conductor as
![]()
![]()

![]()

The surface—S—of the body consists of parts on which boundary conditions can be prescribed—
—and parts that can interact with nearby surfaces of other bodies—
. Prescribed boundary conditions include the electrical potential,
; temperature,
; electrical current density,
; heat flux,
; and surface convection and radiation conditions. The surface interaction model includes heat conduction and radiation effects between the interface surfaces and electrical current flowing across the interface. Heat conduction and radiation are modeled by
![]()
![]()
The electrical current flowing between the interface surfaces is modeled as
![]()
![]()
![]()
Introducing the surface interaction effects and electrical energy released as thermal energy, the governing electric and thermal equations become
and
In a finite element model equilibrium is approximated as a finite set of equations by introducing interpolation functions. Discretized quantities are indicated by uppercase superscripts (for example,
). The summation convention is adopted for the superscripts. The discretized quantities represent nodal variables, with nodes shared between adjacent elements and appropriate interpolation chosen to provide adequate continuity of the assumed variation.
The virtual electrical potential field is interpolated by
![]()

The temperature field in the thermal problem is approximated by the same set of interpolation functions:
![]()

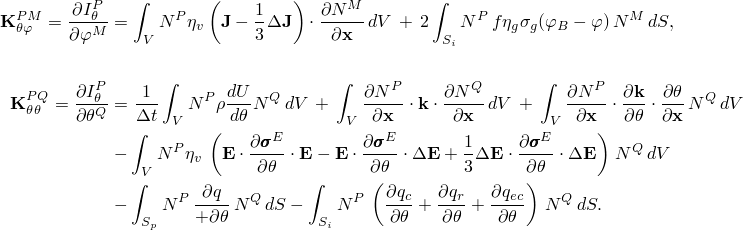
The Jacobian contributions are obtained by taking variations of Equation 2.12.1–8 and Equation 2.12.1–9 with respect to the electrical potential,
, and the temperature,
, at time
. This yields


The Jacobian contributions give rise to an unsymmetric system of equations, requiring the use of the nonsymmetric matrix storage and solution scheme.