
Product: Abaqus/Standard
Abaqus/Standard makes assumptions about liquids and solid matter in a porous medium, liquid entrapment, and the effective strain.
A porous medium in Abaqus/Standard is considered to consist of a mixture of solid matter, voids that contain liquid and gas, and entrapped liquid attached to the solid matter. The mechanical behavior of the porous medium consists of the responses of the liquid and solid matter to local pressure and of the response of the overall material to effective stress. The assumptions made about these responses are discussed in this section.

For the liquid in the system (the free liquid in the voids and the entrapped liquid) we assume that
where![]()

The solid matter in the porous medium is assumed to have the local mechanical response under pressure
where![]()
It is important to distinguish
and
as properties of the solid grains material. The porous medium as a whole will exhibit a much softer (and generally nonrecoverable) bulk behavior than is indicated by
and will also show a different thermal expansion. These effects are partially structural, caused by the medium being made up of irregular grains in partial contact. They may also be caused by the system being only partially saturated, with the voids containing a mixture of relatively compressible gas and relatively incompressible liquid.

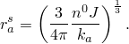
Entrapment of liquid is associated with specific materials that absorb liquid and swell into a “gel.” A simple model of this behavior is based on the idealization of this gel as a volume of individual spherical particles of equal radius
. Tanaka and Fillmore (1979) show that, when a single sphere of such material is fully exposed to liquid, its radius change can be modeled as
![]()
![]()
![]()
When the gel particles are only partially exposed to liquid (in an unsaturated system), it seems reasonable to assume that the swelling rate will be lessened according to the level of saturation. Further, we assume that the gel will swell only when the saturation of the surrounding medium exceeds the effective saturation of the gel,
, where
is the radius of a gel particle that is completely dry. We combine these into a simple, linear effect:

The packing density and swelling may cause the gel particles to touch. In that case the surface available to absorb and entrap liquid is reduced until, if the gel particles occupy the entire volume except for solid material, liquid entrapment must cease altogether. With
gel particles per unit reference volume, the maximum radius that the gel particles can achieve before they must touch (in a face center cubic arrangement) is


![]()
![]()
![]()
We assume that, in the initial state, the effective saturation of the gel is the same as the saturation of the surrounding medium:
![]()
The constitutive behavior of the gel containing entrapped fluid is given by the elastic bulk relationship
![]()

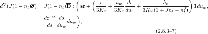
From Equation 2.8.3–2 we see that the volumetric strain
represents that part of the total volumetric strain caused by pore pressure acting on the solid matter in the porous medium and by thermal expansion of that solid matter. In addition, entrapment of liquid in the medium may cause an additional volume change ratio:
![]()
![]()
Also, for the effective pressure stress of the fluid entrapped in the gel,
Then, from Equation 2.8.2–3,