
Product: Abaqus/Standard
This section describes steady-state linear dynamic analysis in Abaqus/Standard using a set of eigenmodes extracted in a previous eigenfrequency step to calculate the steady-state solution as a function of the frequency of the applied excitation.
Steady-state linear dynamic analysis predicts the linear response of a structure subjected to continuous harmonic excitation. In many cases steady-state linear dynamic analysis in Abaqus/Standard uses the set of eigenmodes extracted in a previous eigenfrequency step to calculate the steady-state solution as a function of the frequency of the applied excitation. Abaqus/Standard also has a “direct” steady-state linear dynamic analysis procedure, in which the equations of steady harmonic motion of the system are solved directly without using the eigenmodes, and a “subspace” steady-state linear dynamic analysis procedure, in which the equations are projected onto a subspace of selected eigenmodes of the undamped system. These options are intended for systems in which the behavior is dependent on frequency, for when the model includes damping, or for systems in which the governing equations are not symmetric.
This section describes the linear steady-state response procedure based on the eigenmodes.
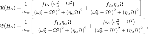
The projection of the equations of motion of the system onto the
th mode gives
![]()
Several representations of modal damping are provided. Modal damping defines
, where
is the fraction of critical damping in the mode. Structural damping gives a damping force proportional to the modal amplitude:
![]()
![]()

![]()

![]()
If a harmonic base motion is applied, the real and imaginary parts of the modal loads are given as
![]()
![]()
The peak amplitude of any physical variable,
, is available from the modal amplitudes as
![]()
Steady-state response is given as a frequency sweep through a user-specified range of frequencies. Since the structural response peaks around the natural frequencies, a bias function is used to cluster the response points around the frequencies. The biasing is described in “Mode-based steady-state dynamic analysis,” Section 6.3.8 of the Abaqus Analysis User's Guide.