
Product: Abaqus/Standard
Continuum coupled temperature-displacement elements are removed and added during a steady-state analysis.
Model:
The models have dimensions 5.0 × 2.0 in the x–y plane with an out-of-plane dimension of 1.0. In the axisymmetric case the models have dimensions 2.0 × 5.0 in the r–z plane, and the inner radius,
, equals 105. The inner radius is large to ensure that the strains in the circumferential direction are approximately uniform, which allows a comparison of the results obtained in this analysis with those obtained analytically.
Material:
| Conductivity | 7.872 × 10–4 |
| Density | 0.2829 |
| Thermal expansion | 1.0 × 10–6 |
| Elastic modulus | 100 × 104 |
| Poisson's ratio | 0.25 |
Loading and boundary conditions:
The left side of the model is held at
=0.0. There is a film condition on the right side of the model. The sink temperature is
=100.0, and the film coefficient, h, is 1.0. After a steady-state solution is obtained, some of the elements in the model are removed. The temperatures along the new external boundary are held fixed. The removed elements are added back into the model in the last step, and a new film condition is applied on the right side. The new sink temperature is
=200.0, and the same h is used.
During all three steps the following mechanical boundary conditions are maintained:
=0.0 at all points along y=0;
=0.0 at the point (0,0).
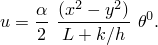
The solution for the one-dimensional steady-state heat transfer problem is given in “Heat transfer model change: steady state,” Section 3.9.5. The solution for the mechanical response of the model is
![]()
![]()
![]()
![]()
![]()
![]()
The model produces the theoretical results in both the first and third steps for the element temperatures and for the quadratic element displacements. The displacements obtained using the model with linear elements do not match the theoretical results but are still reasonable.
General test of C3D8HT elements in steady-state analysis.
General test of C3D8RHT elements in steady-state analysis.
General test of C3D8RT elements in steady-state analysis.
General test of C3D8T elements in steady-state analysis.
General test of C3D10MHT elements in steady-state analysis.
General test of C3D10MT elements in steady-state analysis.
General test of CAX4RHT elements in steady-state analysis.
General test of CAX4RT elements in steady-state analysis.
General test of CAX6MHT elements in steady-state analysis.
General test of CAX6MT elements in steady-state analysis.
General test of CGAX3HT elements in steady-state analysis.
General test of CGAX3T elements in steady-state analysis.
General test of CGAX4HT elements in steady-state analysis.
General test of CGAX4RHT elements in steady-state analysis.
General test of CGAX4RT elements in steady-state analysis.
General test of CGAX4T elements in steady-state analysis.
General test of CGAX6MHT elements in steady-state analysis.
General test of CGAX6MT elements in steady-state analysis.
General test of CGAX8HT elements in steady-state analysis.
General test of CGAX8RHT elements in steady-state analysis.
General test of CGAX8RT elements in steady-state analysis.
General test of CGAX8T elements in steady-state analysis.
General test of CPE4RHT elements in steady-state analysis.
General test of CPE4RT elements in steady-state analysis.
General test of CPE4T elements in steady-state analysis.
General test of CPE6MHT elements in steady-state analysis.
General test of CPE6MT elements in steady-state analysis.
General test of CPEG3HT elements in steady-state analysis.
General test of CPEG3T elements in steady-state analysis.
General test of CPEG4HT elements in steady-state analysis.
General test of CPEG4RHT elements in steady-state analysis.
General test of CPEG4RT elements in steady-state analysis.
General test of CPEG4T elements in steady-state analysis.
General test of CPEG6MHT elements in steady-state analysis.
General test of CPEG6MT elements in steady-state analysis.
General test of CPEG8HT elements in steady-state analysis.
General test of CPEG8RHT elements in steady-state analysis.
General test of CPEG8T elements in steady-state analysis.
General test of CPS4RT elements in steady-state analysis.
General test of CPS4T elements in steady-state analysis.
General test of CPS6MT elements in steady-state analysis.
General test of CPS8RT elements in steady-state analysis.
General test of CPS8T elements in steady-state analysis.