
Product: Abaqus/Standard
The T-stress represents a stress parallel to the crack faces at the crack tip.
It is a useful quantity, not only in linear elastic crack analysis but also in elastic-plastic fracture studies.
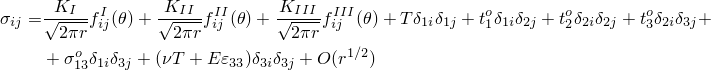
The asymptotic expansion of the stress field near a sharp crack in a linear elastic body with respect to r, the distance from the crack tip, is

The T-stress usually arises in the discussions of crack stability and kinking for linear elastic materials. For small amounts of crack growth under Mode I loading, a straight crack path has been shown to be stable when
, whereas the path will be unstable and, therefore, will deviate from being straight when
(Cotterell and Rice, 1980). A similar trend has been found in three-dimensional crack propagation studies by Xu, Bower, and Ortiz (1994). Hutchinson and Suo (1992) also showed how the advancing crack path is influenced by the T-stress once cracking initiates under mixed-mode loading. (The direction of crack initiation can be otherwise predicted using the criteria discussed in “Prediction of the direction of crack propagation,” Section 2.16.4.)
The T-stress also plays an important role in elastic-plastic fracture analysis, even though the T-stress is calculated from the linear elastic material properties of the same solid containing the crack. The early study of Larsson and Carlsson (1973) demonstrated that the T-stress can have a significant effect on the plastic zone size and shape and that the small plastic zones in actual specimens can be predicted adequately by including the T-stress as a second crack-tip parameter. Some recent investigations (Bilby et al., 1986; Al-Ani and Hancock, 1991; Betegón and Hancock, 1991; Du and Hancock, 1991; Parks, 1992; and Wang, 1991) further indicate that the T-stress can correlate well with the tensile stress triaxiality of elastic-plastic crack-tip fields. The important feature observed in these works is that a negative T-stress can reduce the magnitude of the tensile stress triaxiality (also called the hydrostatic tensile stress) ahead of a crack tip; the more negative the T-stress becomes, the greater the reduction of tensile stress triaxiality. In contrast, a positive T-stress results only in modest elevation of the stress triaxiality. It was found that when the tensile stress triaxiality is high, which is indicated by a positive T-stress, the crack-tip field can be described adequately by the HRR solution (Hutchinson, 1968; Rice and Rosengren, 1968), scaled by a single parameter: the J-integral; that is, J-dominance will exist. When the tensile stress triaxiality is reduced (indicated by the T-stress becoming more negative), the crack-tip fields will quickly deviate from the HRR solution, and J-dominance will be lost (the asymptotic fields around the crack tip cannot be well characterized by the HRR fields). Thus, using the T-stress (calculated based on the load level and linear elastic material properties) to characterize the triaxiality of the crack-tip stress state and using the J-integral (calculated based on the actual elastic-plastic deformation field) to measure the scale of the crack-tip deformation provides a two-parameter fracture mechanics theory to describe the Mode I elastic-plastic crack-tip stresses and deformation in plane strain or three dimensions accurately over a wide range of crack configurations and loadings.
To extract the T-stress, we use an auxiliary solution of a line load, with magnitude f, applied in the plane of crack propagation and along the crack line:
![]()
![]()
The interaction integral used is exactly the same as that for extracting the stress intensity factors:
![]()
![]()
In the limit as
, using the local asymptotic fields,
![]()
can be calculated by means of the same domain integral method used for J-integral calculation and the stress intensity factor extraction, which has been described in “J-integral evaluation,” Section 2.16.1, and “Stress intensity factor extraction,” Section 2.16.2.
is doubled if only half the structure is modeled.